aa3044永利集团社团联合会于2024年12月3日在线上开展“积先贤之学,沐墨林之风”书法笔会主题活动。


书法作为中华民族的艺术瑰宝,承载着数千年的历史文化内涵与先贤的智慧哲思。为了重拾书法艺术的魅力,传承先贤的精神风范,特举办此次“积先贤之学,沐墨林之风”书法笔会活动。通过此次活动强调传承先贤书法艺术与文化精神的重要性,并鼓励参与者在创作中展现个人风格和对传统文化的理解。
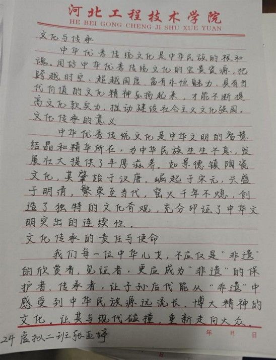
参与人员在自备的纸张上,围绕中华传统文化以及人民日报中的名人名句等主题,各自精心书写了一篇书法作品。他们认真完成的书法作品风格各异,有的字体刚劲有力,有的则飘逸灵动,一笔一划间无不透露出对书法艺术的深厚热爱与精湛功底。


此次“积先贤之学,沐墨林之风”书法笔会主题活动丰富了学生们的校园生活,让更多学生感受到书法艺术的独特魅力,有助于积先贤之学,沐墨林之风,在校园内营造浓厚的文化氛围。
终审:党委宣传部